扫一扫加入微信交流群
与考生自由互动、并且能直接与专业老师进行交流、解答。
2013年成人高考专升本《高数二》真题及答案
成人高考专升本《高数二》考试时间150分钟,满分150分。山东省考生咨询微信:15653487770(同微信)或QQ:363612124(桑老师)报名可免费领取考试复习资料及历年真题试卷。
真题下载:2013年成人高考专升本高等数学二考试真题及参考答案.doc
一、选择题:每小题4分,共40分,在每小题给出的四个选项中,只有一项是符合题目要求。
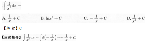
第1题

第2题

第3题

第4题

第5题

第6题

第7题

第8题

第9题

第10题

二、填空题:本大题共10个小题,每小题4分,共40分,把答案填写在题中横线上。
第11题

第12题

第13题

第14题

第15题

第16题

第17题

第18题

第19题

第20题

三、解答题:共70分。解答应写出推理、演算步骤。
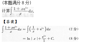
第21题

第22题

第23题

第24题

第25题

第26题

第27题

第28题

成考倒计时
立刻定制专属提升方案
菏泽成考网申明:
(一)由于各方面情况的调整与变化本网提供的考试信息仅供参考,敬请以教育考试院及院校官方公布的正式信息为准。
(二)本网注明信息来源为其他媒体的稿件均为转载体,免费转载出于非商业性学习目的,版权归原作者所有。如有内容与版权问题等请与本站联系。联系方式:邮件363612124@qq.com
上一篇:
2013年成人高考专升本《高数一》真题及答案
下一篇:
2013年成人高考专升本《民法》真题及答案
延伸阅读